SOLUTION: Please help me solve this equation 8x^2+7y^2-32x+42y-17=0

Algebra ->  Quadratic-relations-and-conic-sections -> SOLUTION: Please help me solve this equation 8x^2+7y^2-32x+42y-17=0      Log On


   



Question 1169924: Please help me solve this equation 8x^2+7y^2-32x+42y-17=0
Answer by MathLover1(20850) About Me  (Show Source):
You can put this solution on YOUR website!
8x%5E2%2B7y%5E2-32x%2B42y-17=0+........group like variables and complete squares
%288x%5E2-32x%29%2B%287y%5E2%2B42y%29-17=0
8%28x%5E2-4x%29%2B7%28y%5E2%2B6y%29-17=0
8%28x%5E2-4x%2Bb%5E2%29-8b%5E2%2B7%28y%5E2%2B6y%2Bb%5E2%29-7b%5E2-17=0
8%28x%5E2-4x%2B2%5E2%29-8%2A2%5E2%2B7%28y%5E2%2B6y%2B3%5E2%29-7%2A3%5E2-17=0
8%28x-2%29%5E2-32%2B7%28y%2B3%29%5E2-63-17=0
8%28x-2%29%5E2%2B7%28y%2B3%29%5E2-112=0.........divide by+112
8%28x-2%29%5E2%2F112%2B7%28y%2B3%29%5E2%2F112-112%2F112=0
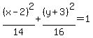
%28x-2%29%5E2%2F14%2B%28y%2B3%29%5E2%2F16-1=0
%28x-2%29%5E2%2F14%2B%28y%2B3%29%5E2%2F16=1 ....-> ellipse
center is at (2,-3)
semimajor axis length | sqrt%2816%29=4
semiminor axis length | sqrt%2814%293.7