SOLUTION: Suppose that a circle is tangent to both axes, is in the third quadrant, and has a radius of \sqrt(2). Find the center-radius form of its equation.
Algebra ->
Quadratic-relations-and-conic-sections
-> SOLUTION: Suppose that a circle is tangent to both axes, is in the third quadrant, and has a radius of \sqrt(2). Find the center-radius form of its equation.
Log On
Question 1156751: Suppose that a circle is tangent to both axes, is in the third quadrant, and has a radius of \sqrt(2). Find the center-radius form of its equation. Found 3 solutions by ikleyn, MathLover1, MathTherapy:Answer by ikleyn(53751) (Show Source):
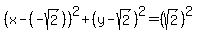
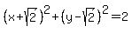
You can put this solution on YOUR website! if a circle is tangent to both axes, is in the third quadrant, and has a radius of , the center will be at (, )
the center-radius form of its equation is:
You can put this solution on YOUR website!
Suppose that a circle is tangent to both axes, is in the third quadrant, and has a radius of \sqrt(2). Find the center-radius form of its equation.
There are a few people on here who need to STAY away from this forum, as day after day after day after day, they do nothing but confuse the H..L
out of these people who ask for help!
This one who responded is certainly one of them, by far!
Does this person REALLY NOT know where the 3rd Quadrant is? My LORD!!