SOLUTION: Find the equation of the parabola whose axis is parallel to the x-axis and passes through the points (3, 1), (0, 0), and (8,-4)

Algebra ->  Quadratic-relations-and-conic-sections -> SOLUTION: Find the equation of the parabola whose axis is parallel to the x-axis and passes through the points (3, 1), (0, 0), and (8,-4)      Log On


   



Question 1147599: Find the equation of the parabola whose axis is parallel to the x-axis and passes through the points (3, 1), (0, 0), and (8,-4)
Answer by Edwin McCravy(20077) About Me  (Show Source):
You can put this solution on YOUR website!


Parabolas like this have standard equation:

%28y-k%5E%22%22%29%5E2=4p%28x-h%5E%22%22%29

Substitute (x,y) = (0,0):

%280-k%29%5E2=4p%280-h%29
k%5E2=4p%28-h%29
k%5E2=-4ph

%28y-k%5E%22%22%29%5E2=4p%28x-h%5E%22%22%29

Substitute (x,y) = (3,1):

%281-k%29%5E2=4p%283-h%29
1-2k%2Bk%5E2=12p-4ph%29
Substitute +k² for -4ph
1-2k%2Bk%5E2=12p%2Bk%5E2%29
1-2k=12p
12p%2B2k=1

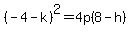
Substitute (x,y) = (8,-4):

%28-4-k%29%5E2=4p%288-h%29
16%2B8k%2Bk%5E2=32p-4ph%29
Substitute +k² for -4ph
16%2B8k%2Bk%5E2=32p%2Bk%5E2%29
16%2B8k=32p
32p-8k=16
That can be divided through by 8
4p-k=2

Solve this system:

system%2812p%2B2k=1%2C4p-k=2%29

And you'll get p=1/4, k=-1

Substitute in k%5E2=-4ph

%28-1%29%5E2=-4%281%2F4%29h
1=-h
h=-1

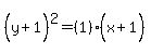
So substitute for h,k, and p:

%28y-%28-1%29%5E%22%22%29%5E2=4%281%2F4%29%28x-%28-1%29%5E%22%22%29

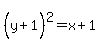
%28y%2B1%5E%22%22%29%5E2=%281%29%28x%2B1%5E%22%22%29

%28y%2B1%5E%22%22%29%5E2=x%2B1%5E%22%22    <---answer

Edwin