Question 1126203: Complete the general form equation of the parabola that passes through
(2,−21)with vertex at (−1,−3)
Enter the quadratic expression in general form,
ax^2+bx+c.
Found 2 solutions by josgarithmetic, MathTherapy: Answer by josgarithmetic(39618) (Show Source): Answer by MathTherapy(10552) (Show Source):
You can put this solution on YOUR website!
Complete the general form equation of the parabola that passes through
(2,−21)with vertex at (−1,−3)
Enter the quadratic expression in general form,
ax^2+bx+c.
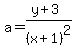
Vertex from: 
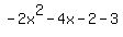
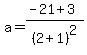
------- Substituting (2, - 21) for (x, y) and (- 1, - 3) for (h, k)
- 21 = 9a - 3
- 21 + 3 = 9a
- 18 = 9a

------- Substituting - 2 for a, and (- 1, - 3) for (h, k)

|
|
|