Question 1120509: Find an equation for the ellipse with center(5, 0),foci(5, ±4)and major axis of length 10.
Answer by MathLover1(20850) (Show Source):
You can put this solution on YOUR website! Find an equation for the ellipse with:
center( , ),
foci( , ± ) and
major axis of length
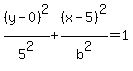
Because the coordinate of the foci is the coordinate that is changing, we know that the major axis of the ellipse is parallel to the axis. Therefore, the standard Cartesian form of the equation of the ellipse is:
(for a taller-than-wide ellipse )
if center is at ( , )=( , ) we have and 
if major axis of length , and " " is half of the length of the major axis, we have =>
so far we have
foci( , ± )
since the focus is units above the center, then
use the equation to find

and we have
|
|
|