SOLUTION: Write an equation of a parabola that opens to the right, has a vertex at the origin, and a focus at (7, 0).
Algebra
->
Quadratic-relations-and-conic-sections
-> SOLUTION: Write an equation of a parabola that opens to the right, has a vertex at the origin, and a focus at (7, 0).
Log On
Algebra: Conic sections - ellipse, parabola, hyperbola
Section
Solvers
Solvers
Lessons
Lessons
Answers archive
Answers
Click here to see ALL problems on Quadratic-relations-and-conic-sections
Question 1119191
:
Write an equation of a parabola that opens to the right, has a vertex at the origin, and a focus at (7, 0).
Answer by
greenestamps(13200)
(
Show Source
):
You can
put this solution on YOUR website!
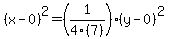
The vertex form of the equation of a parabola that opens to the right with vertex (h,k) is
In that formula, p is the directed distance from the vertex to the focus; since in this problem the parabola opens to the right, p is positive.
Then, since the vertex is (0,0) and the directed distance p from the vertex to the focus is 7, the equation is
or