Question 1103415: Write the equation of the hyperbola. Center (-3,5); vertex (-1,5); focus (0,5)
Answer by greenestamps(13215) (Show Source):
You can put this solution on YOUR website!
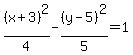
The center, vertex, and focus have the same y value, so the branches of the hyperbola open to the right and left. Then the equation in standard form is

With the equation in this form...
(1) the center is (h,k);
(2) the distance to each vertex is a; and
(3) the distance to each focus is c, where 
The center is given as (-3,5), so h=-3 and k=5.
The distance to each vertex is given as 2, so a=2.
The distance to each focus is given as 3, so c=3; that means b=sqrt(5).
Plugging all these values into the standard form, we have the equation of the hyperbola:

|
|
|