Question 1102379: Find an equation for the ellipse with center
(3, 0),
foci
(3, ±2)
and major axis of length 6.
Find an equation for the ellipse with center
(3, 0),
foci
(3, ±4)
and major axis of length 10.
Answer by KMST(5328) (Show Source):
You can put this solution on YOUR website! An ellipse with foci (3, ±2)
must have a center midway between the foci, at (3,0),
and its focal distance must be ,
the distance between center and either focus.
It also must have a major axis on the line x=3,
where the foci and center are located.
If the length of the major axis is 6,
the semi-major axis is ,
and that tells us the vertices are 3 units above and below the center,
at (3,-3) and (3,3).
In an ellipse, the semi-minor axis is related to and by
, so
,
,
,
.
The equation for an ellipse where center, foci, and vertices differ only on the y-coordinate is
, where (h,k) is the center.
Substituting the values we now know for , , and , we get
,
and the ellipse, wit its foci looks like this 
The equation for an ellipse with foci at (3, ±4) and major axis 10
can be found the same way.
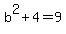
, .
As are leg and hypotenuse of a 3-4-5 right triangle,
and .
The equation is .
|
|
|