SOLUTION: Please help me with this question.
Find an equation for the hyperbola that satisfies the given conditions:
12. Vertices (0, ±4), asymptotes y = ± 1/2x
Algebra ->
Quadratic-relations-and-conic-sections
-> SOLUTION: Please help me with this question.
Find an equation for the hyperbola that satisfies the given conditions:
12. Vertices (0, ±4), asymptotes y = ± 1/2x
Log On
Find an equation for the hyperbola that satisfies the given conditions:
12. Vertices (0, ±4), asymptotes y = ± 1/2x Found 2 solutions by ewatrrr, advanced_Learner:Answer by ewatrrr(24785) (Show Source):
You can put this solution on YOUR website! Vertices (0, ±4), asymptotes y = ± 1/2x
OPens Up an Down
Standard Form of an Equation of an Hyperbola opening up and down is: with C(h,k) and vertices 'b' units up and down from center, 2b the length of the transverse axis
Foci units units up and down from center, along x = h
& Asymptotes Lines passing thru C(h,k), with slopes m = ± b/a
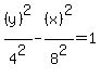
Vertices (0, ±4) therefore C(0,0)
asymptotes y = ± 1/2x
m = ± b/a
4/a = 1/2
a = 8