|
Question 1045127: A parabola of the form y=ax^2+bx+c has a maximum value of y=3. The y-coordinate of the parabola at x=5 is (9/4). The y-coordinate of the parabola at x=7 is (-15/4). Determine the x-intercepts of the parabola. Enter your answer in exact form.
Use this form of the equation of a parabola:
y=a(x-h)^2+k
Then h is the x-coordinate of the maximum and k is the maximum value. You'll then need to sub in the two data points to get two equations, which you can solve for a and h or k. Once you've done this you'll have the equation of your parabola, so you can set y = 0 and solve for the x-intercepts.
You'll need to know that the max of a downward facing parabola (negative a) is at the vertex. The vertex has x-coordinate :
xV=(-b/2a)
Smaller X-intercept:
Larger X-intercept:
Answer by josgarithmetic(39618) (Show Source):
You can put this solution on YOUR website! Two points on the parabola are ( 5, 9/4 ) and ( 7, -15/4 ).
You do not yet know zeros or the actual vertex. You DO know that .
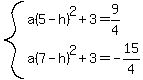
All you know about the vertex is some point (h,3). You can say the standard form equation is .
MAKE TWO SPECIFIC EQUATIONS USING THE "GIVEN" POINTS
Still two variables are unknown, being h and a. The two equations using the given points will allow to solve for h and a.
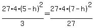
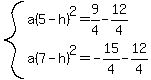
Find the two expressions for "a".
----------not working; unknown mistake.
I am leaving this incomplete and possibly incorrect solution posted anyway. Maybe you understand the path taken and may do it properly and avoid whatever mistake I have made.
-
SHOULD be, the quadratic equation in just h,

and then discriminant, , giving solution for h as

-

-----and maybe one of this might not work.
CORRESPONDING "a"?
Using either of the earlier equations solved for a,

-



-





-
This gives two combinations of solutions of this system for a and h.
Either 
OR .
WHAT IS THE STANDARD FORM EQUATION USING THESE?
Starting from ,
-------------------------------------------------------

-------------------------------------------------------
--
The question asked was, what are the y-intercepts. That not actually answered, but you could now easily just let y=0 and solve for x. You may still need to do both equations separately.
|
|
|
| |