Question 1043225: Find the center,foci,vertices and covertices of the ellipse with the given equation.
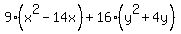
9x^2+16y^2-126x+64y=71
Answer by ikleyn(52794) (Show Source):
You can put this solution on YOUR website! .
Find the center,foci,vertices and covertices of the ellipse with the given equation.
9x^2+16y^2-126x+64y=71
~~~~~~~~~~~~~~~~~~~~~~~~~~~
= --->
= --->
= ,
= ,
= ,
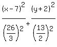
= , ( <--- next divide both sides by 676 = )
= 1, or
= 1.
The center of the ellipse is the point (7,-2).
The semi-major axis is a = .
The semi-minor axis is b = = 13/2. (Notice that a > b. The major axis is horizontal, and the ellipse is wider than tall).
Two vertices in horizontal directions are ( , ) and ( , ).
Two vertices in vertical directions are ( , ) and ( , ).
The linear eccentricity is c = = = = = = .
The foci are ( , ) and ( , ).
See the lesson
- Ellipse definition, canonical equation, characteristic points and elements
in this site.
|
|
|