|
Question 1027807: Please help me with these problem did any of this before.
Give an example of each of the following:
a. A function with vertical asymptotes at x=-3 and x=1, and a horizontal asymptote at y=2.
b. A word problem whose solution is 12!/9!3!
c. The equation of an ellipse with vertices at (0,0) and (-8,0).
d. A logarithmic expression equivalent to 5.
Answer by KMST(5328) (Show Source):
You can put this solution on YOUR website! a. To have those vertical asymptotes, a rational functions should have in the denominator the factors
and .
With for a denominator
a rational function with for a horizontal asymptote
must have for a numerator a quadratic polynomial with for a leading coefficient.
is a suitable numerator for that, and its value for and for is not zero.
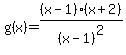
So, has all the required asymptotes.
FURTHER EXPLANATION:
A rational function may have vertical asymptotes at the values of that make
the denominator zero.
So, does not exist for ,
and has as a vertical asymptote,
because at valued close to the numerator is close to ,
but as approaches , the denominator approaches zero,
making increase without bounds.
However, if a value of makes both, numerator and denominator zero,
there may not be a vertical asymptote at that value.
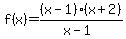
For example, does not exist for , but for all , so within its domain is just a linear function,
and graphs as a slanted line, with a hole at the point (1,3), and no vertical asymptote.
On the other hand, is {{g(x)=(x+2)/(x-1)}}} for ,
and has for a vertical asymptote.
A rational function has a horizontal asymptote for some number 
when numerator and denominator are polynomials of the same degree, and the ratio of the leading coefficients is .
It is obvious that has for a vertical asymptote,
but so does .
b. How many different possibilities has an academic coach trying to choose a team of 3 students to represent the school in an academic contest? (The order the team members are chosen or listed does not matter).
EXPLANATION:
Choosing a set of from a larger set of , is a question of combinations, because the choosing order, position, or role of each team member is not important.
When choosing, there are possibilities for the first choice, for the second choice, and for the third choice.
That is .
But there are ways to choose the same team, because any of the {{[3}}} members could have been chosen first, followed in each case, by any of the {{[3-1=2}}} other members, leaving just choice.
So there may be lists of members, but since each set of can be listed ways, there are really teams.
NOTE: An alternate word problem is
How many different cheerleading team of members can be chosen from students showing up at the tryouts?
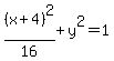
c. The equation of an ellipse with vertices at (0,0) and (-8,0) could be
.
EXPLANATION:
The points called vertices are the ends of the major axis, since the ends of the minor axis are usually called co-vertices.
The given points are on a horizontal line (axis), so the segments between them has to be the horizontal major axis.
Since the distance between the vertices is , the semi-major axis is , and the equation of the ellipse must be with any (the semi-minor axis) such that .
d. is a logarithmic expression equivalent to 5. So is .
EXPLANATION:
so , and
so .
|
|
|
| |