SOLUTION: giving reasons, identify the following conic sections i)16y=-4x^2+64 ii)4-4x-y=y^2+x^2

Algebra ->  Quadratic-relations-and-conic-sections -> SOLUTION: giving reasons, identify the following conic sections i)16y=-4x^2+64 ii)4-4x-y=y^2+x^2      Log On


   



Question 1026748: giving reasons, identify the following conic sections
i)16y=-4x^2+64
ii)4-4x-y=y^2+x^2

Answer by ikleyn(52810) About Me  (Show Source):
You can put this solution on YOUR website!
.
giving reasons, identify the following conic sections
i)16y=-4x^2+64
ii)4-4x-y=y^2+x^2
~~~~~~~~~~~~~~~~~~~~~~~

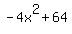
1. 16y = -4x%5E2%2B64.

   This equation is equivalent to

   y = -%281%2F4%29%2Ax%5E2+%2B+4%29,   or

   y = -%281%2F4%29%2A%28x%5E2+-+16%29.

   It is the equation of a parabola opened downward and symmetric about the vertical axis x = 0.

   Its vertex is V = (0, 4).  y-intercept is y = 4.  x-intercepts are x = -4 and x = 4.

Plot y = -%281%2F4%29%2A%28x%5E2+-+16%29.
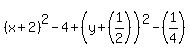
2. 4-4x-y = y%5E2%2Bx%5E2.

   This equation is equivalent to 

   x%5E2+%2B+4x+%2B+y%5E2+%2B+y = 4.

   Complete the squares in x and y separately. You will get an equivalent equation

   %28x+%2B+2%29%5E2+-4+%2B+%28y+%2B+%281%2F2%29%29%5E2+-+%281%2F4%29 = 4,   or

   %28x+%2B+2%29%5E2+%2B+%28y+%2B+%281%2F2%29%29%5E2 = 4+%2B+4+%2B+%281%2F4%29,   or

   %28x+%2B+2%29%5E2+%2B+%28y+%2B+%281%2F2%29%29%5E2 = 33%2F4.

   It is the equation of the circle with the center at  (x,y) = (-2,-1%2F2)  and the radius of  sqrt%2833%29%2F2.

Plot %28x+%2B+2%29%5E2+%2B+%28y+%2B+%281%2F2%29%29%5E2 = 33%2F4.