SOLUTION: the volume (v) of a cylinder with radius (r) and height (h) is given by V = TTr^2h. Solve this formula for r. Forgive me..I didn't know what category to put this under. Thank

Algebra ->  Quadratic-relations-and-conic-sections -> SOLUTION: the volume (v) of a cylinder with radius (r) and height (h) is given by V = TTr^2h. Solve this formula for r. Forgive me..I didn't know what category to put this under. Thank      Log On


   



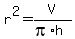
Question 1023246: the volume (v) of a cylinder with radius (r) and height (h) is given by V = TTr^2h. Solve this formula for r.
Forgive me..I didn't know what category to put this under.
Thanks.

Answer by robertb(5830) About Me  (Show Source):