SOLUTION: find the points of intersection of the parabolas x^2+2x+3y+4= and x^2-3x+y+3=0
Algebra
->
Quadratic-relations-and-conic-sections
-> SOLUTION: find the points of intersection of the parabolas x^2+2x+3y+4= and x^2-3x+y+3=0
Log On
Algebra: Conic sections - ellipse, parabola, hyperbola
Section
Solvers
Solvers
Lessons
Lessons
Answers archive
Answers
Click here to see ALL problems on Quadratic-relations-and-conic-sections
Question 1018683
:
find the points of intersection of the parabolas x^2+2x+3y+4= and x^2-3x+y+3=0
Found 2 solutions by
josgarithmetic, ikleyn
:
Answer by
josgarithmetic(39620)
(
Show Source
):
You can
put this solution on YOUR website!
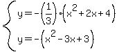
Solve each equation for y in terms of x.
Equate the expressions of x and simplify:
which is factorable:
Find the corresponding y coordinates for each.
You can fill-in all the steps not shown and also to finish.
Answer by
ikleyn(52803)
(
Show Source
):
You can
put this solution on YOUR website!