Question 1010718: identify the conic section if it is a parabola give the vertex if it is a circle give the center and radius if it is a ellipse or a hyperbola give the center and foci
5x^2-5y^2+40x-20y+35=0
Found 2 solutions by MathLover1, MathTherapy: Answer by MathLover1(20850) (Show Source):
You can put this solution on YOUR website!
.........all terms divide by
...complete squares
=> both sides divide by
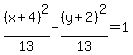
=> so, we have a hyperbola with ,
the center is at ( , )
semimajor axis length | ~~
semiminor axis length | ~~
foci is fixed distance from the center
=> =>
so, foci is at:
( , ) and ( , )~~( , ) and ( , )
vertices | ( , ) and ( , )~~( , ) and ( , )
Answer by MathTherapy(10552) (Show Source):
You can put this solution on YOUR website!
identify the conic section if it is a parabola give the vertex if it is a circle give the center and radius if it is a ellipse or a hyperbola give the center and foci
5x^2-5y^2+40x-20y+35=0
This is INDEED a HYPERBOLA, since higher-degree x and y have different signs.
However, that person is WRONG, as usual, because the equation you're looking for is:
|
|
|