SOLUTION: identify the conic section if it is a parabola give the vertex if it is a circle give the center and radius if it is a ellipse or a hyperbola give the center and foci 5x^2-5y^2+4

Algebra ->  Quadratic-relations-and-conic-sections -> SOLUTION: identify the conic section if it is a parabola give the vertex if it is a circle give the center and radius if it is a ellipse or a hyperbola give the center and foci 5x^2-5y^2+4      Log On


   



Question 1010714: identify the conic section if it is a parabola give the vertex if it is a circle give the center and radius if it is a ellipse or a hyperbola give the center and foci
5x^2-5y^2+40x-20y+35=0

Answer by josgarithmetic(39618) About Me  (Show Source):
You can put this solution on YOUR website!
5x%5E2-5y%5E2%2B40x-20y%2B35=0
x%5E2-y%5E2%2B8x-4y%2B7=0
x%5E2%2B8x-y%5E2-4y=-7
Complete the squares as described , ...includes how to complete the square
x%5E2%2B8x%2B16-%28y%5E2-4y%2B2%29=-7%2B16-2
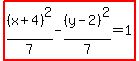
%28x%2B4%29%5E2-%28y-2%29%5E2=7
highlight%28%28x%2B4%29%5E2%2F7-%28y-2%29%5E2%2F7=1%29

HYPERBOLA
Center (-4,2)

If c is the distance from a focus to the center, then using a%5E2=7 and b%5E2=7,
c%5E2=b%5E2%2Ba%5E2
c%5E2=7%2B7
c%5E2=14
c=sqrt%2814%29
Being a horizontal hyperbola, vertices on the x-axis, the foci are (-4-sqrt(14), 2) and (-4+sqrt(14), 2).