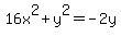
SOLUTION: Find the vertices and foci of the ellipse. {{{ 16x^2 + y^2 = -2y }}}
Algebra
->
Quadratic-relations-and-conic-sections
-> SOLUTION: Find the vertices and foci of the ellipse. {{{ 16x^2 + y^2 = -2y }}}
Log On
Algebra: Conic sections - ellipse, parabola, hyperbola
Section
Solvers
Solvers
Lessons
Lessons
Answers archive
Answers
Click here to see ALL problems on Quadratic-relations-and-conic-sections
Question 1007364
:
Find the vertices and foci of the ellipse.
Answer by
josgarithmetic(39618)
(
Show Source
):
You can
put this solution on YOUR website!
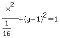
The long axis is vertical and the short axis is horizontal. This is like
.
Your ellipse has center at (0,-1).
Minor vertices are ( -1/4, -1 ) and ( 1/4, -1).
Major vertices are (0,0) and (0,-2).
-
(HINT: Each focus will be on the y-axis).
, and c is the distance from the center to either focus.