SOLUTION: Find an equation of the parabola whose axis of symmetry is parallel to the y-axis and a. whose vertex is (1, -3) and whose y-intercept is 6. Show your method. b. whose x-interc

Algebra ->  Quadratic-relations-and-conic-sections -> SOLUTION: Find an equation of the parabola whose axis of symmetry is parallel to the y-axis and a. whose vertex is (1, -3) and whose y-intercept is 6. Show your method. b. whose x-interc      Log On


   



Question 1001249: Find an equation of the parabola whose axis of symmetry is parallel to the y-axis and
a. whose vertex is (1, -3) and whose y-intercept is 6. Show your method.
b. whose x-intercepts are 2 and 8, which also contains the point (3,4). Show your method.

Answer by KMST(5328) About Me  (Show Source):
You can put this solution on YOUR website!
A parabola whose axis of symmetry is parallel to the y-axis has an equation of the type
y=a%28x-h%29%5E2%2Bk where (h,k) is the vertex.
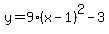
So, y=a%28x-1%29%5E2-3--->y=a%28x%5E2%2B2x%2B1%29-3--->y=ax%5E2%2B2ax%2Ba-3
Making x=0 , we find the y-intercept: a-3 .
a-3=6--->a=6%2B3--->a=9 .
So, the equation is
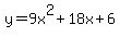
y=9%28x-1%29%5E2-3 or y=9x%5E2%2B18x%2B6 .