SOLUTION: Find the perimeter of ΔTAP with vertices T(1, 4), A(4,4), and P(3,0) to the nearest tenth unit.

Algebra ->  Pythagorean-theorem -> SOLUTION: Find the perimeter of ΔTAP with vertices T(1, 4), A(4,4), and P(3,0) to the nearest tenth unit.      Log On


   



Question 1131932: Find the perimeter of ΔTAP with vertices T(1, 4), A(4,4), and P(3,0) to the nearest tenth unit.
Answer by MathLover1(20850) About Me  (Show Source):
You can put this solution on YOUR website!

the perimeter of ΔTAP is:
perimeter=TA%2BTP%2BAP
find the length which is equal to distance between points

if vertices are at T(1, 4), A(4,4), and +P(3,0), we have
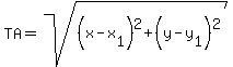
TA=sqrt%28%28x-x%5B1%5D%29%5E2%2B%28y-y%5B1%5D%29%5E2%29...if T(1, 4), A(4,4)
TA=sqrt%28%284-1%29%5E2%2B%284-4%29%5E2%29
TA=sqrt%283%5E2%29
TA=3

TP=sqrt%28%28x-x%5B1%5D%29%5E2%2B%28y-y%5B1%5D%29%5E2%29...if T(1, 4),+P(3,0)
TP=sqrt%28%283-1%29%5E2%2B%280-4%29%5E2%29
TP=sqrt%284%2B16%29
TP=sqrt%2820%29
TP=sqrt%284%2A5%29
TP=2sqrt%285%29
TP=2%2A2.23606797749979
TP=4.47


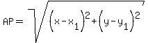
AP=sqrt%28%28x-x%5B1%5D%29%5E2%2B%28y-y%5B1%5D%29%5E2%29....A(4,4),+P(3,0)
AP=sqrt%28%284-3%29%5E2%2B%284-0%29%5E2%29
AP=sqrt%281%2B16%29
AP=sqrt%2817%29
AP=4.123
perimeter=3%2B4.47%2B4.123
perimeter=11.593
perimeter=11.6 .......to the nearest tenth unit