SOLUTION: nCr/nCr-1 = (n-r+1)/r prove it

Algebra ->  Proofs -> SOLUTION: nCr/nCr-1 = (n-r+1)/r prove it       Log On


   



Question 947547: nCr/nCr-1 = (n-r+1)/r
prove it

Answer by Edwin McCravy(20081) About Me  (Show Source):
You can put this solution on YOUR website!
To prove:

nCr%2FnC%28r-1%29%22%22=%22%22%28n-r%2B1%29%2Fr

We begin with the left side and we show that
it equals the right side:

nCr%2FnC%28r-1%29

nCr%22%F7%22nC%28r-1%29

n%21%2F%28r%21%28n-r%29%21%29%22%F7%22n%21%2F%28%28r-1%29%21%28n%5E%22%22-%28r-1%29%29%21+%29

n%21%2F%28r%21%28n-r%29%21%29%22%F7%22n%21%2F%28%28r-1%29%21%28n-r%2B1%29%21+%29

n%21%2F%28r%21%28n-r%29%21%29%22%D7%22%28%28r-1%29%21%28n-r%2B1%29%21+%29%2Fn%21


cross%28n%21%29%2F%28r%21%28n-r%29%21%29%22%D7%22%28%28r-1%29%21%28n-r%2B1%29%21+%29%2Fcross%28n%21%29

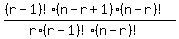
%28r-1%29%21%28n-r%2B1%29%21%2F%28r%21%2A%28n-r%29%21%29

Write (n-r+1)! as (n-r+1)(n-r)! and r! as r(r-1)!

%28%28r-1%29%21%28n-r%2B1%29%28n-r%29%21%29%2F%28r%2A%28r-1%29%21%2A%28n-r%29%21%29



%28n-r%2B1%29%2Fr

Edwin