SOLUTION: 12. A particle of mass 2kg slides down a rough plane inclined at 20 degrees to the horizontal. Given that the acceleration of the particle is 1.5ms-2, find the coefficient of frict

Algebra ->  Proofs -> SOLUTION: 12. A particle of mass 2kg slides down a rough plane inclined at 20 degrees to the horizontal. Given that the acceleration of the particle is 1.5ms-2, find the coefficient of frict      Log On


   



Question 122291This question is from textbook Mechanics I
: 12. A particle of mass 2kg slides down a rough plane inclined at 20 degrees to the horizontal. Given that the acceleration of the particle is 1.5ms-2, find the coefficient of friction between the particle and the plane.
Thanks for any help, its so hard :D
This question is from textbook Mechanics I

Answer by Fombitz(32388) About Me  (Show Source):
You can put this solution on YOUR website!
If you set up a free body diagram and look at the forces acting on the particle.
Let x be the axis parallel to the plane.
Let y be the axis perpendicular to the plane.
The forces in the x direction are dynamic friction resisting motion and the gravity component assisting motion.
The forces in the y direction are the gravity component in that direction and the normal force of the table pushing up on the particle.
The dynamic friction is a function of the gravity component in the y direction.
Force balance in x direction : 1.ma+=+F%5Bx%2Cg%5D-F%5Bf%5D
Force balance in y direction : 2.0=F%5BN%5D-F%5By%2Cg%5D
where
F%5Bx%2Cg%5D=mg+sin%28alpha%29
F%5By%2Cg%5D=mg+cos%28alpha%29
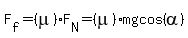
F%5Bf%5D=+%28mu%29F%5BN%5D=%28mu%29+mg+cos%28alpha%29
m = Mass
g = Gravitational constant
%28mu%29= Coefficient of friction
%28alpha%29= Angle of incline
1.ma+=+F%5Bx%2Cg%5D-F%5Bf%5D
ma=mg+sin%28alpha%29-%28mu%29+mg+cos%28alpha%29
ma-mg+sin%28alpha%29=-%28mu%29+mg+cos%28alpha%29
%28-ma%2Bmg+sin%28alpha%29%29%2F%28mg+cos%28alpha%29%29=%28mu%29
%28mu%29=%28mg+sin%28alpha%29-ma%29%2F%28mg+cos%28alpha%29%29
%28mu%29=%282%289.8%29+sin%2820%29-2%281.5%29%29%2F%282%289.8%29+cos%2820%29%29
%28mu%29=%282%289.8%29+%280.342%29-2%281.5%29%29%2F%282%289.8%29+%280.937%29%29
%28mu%29=%286.7032-3.0%29%2F%2818.3652%29
%28mu%29=0.20