SOLUTION: Use an ordinary proof (not conditional or indirect) to solve the following arguments 1. O ⊃ (Q • N) 2. (N Ú E) ⊃ S/ O ⊃ S

Algebra ->  Proofs -> SOLUTION: Use an ordinary proof (not conditional or indirect) to solve the following arguments 1. O ⊃ (Q • N) 2. (N Ú E) ⊃ S/ O ⊃ S      Log On


   



Question 1179972: Use an ordinary proof (not conditional or indirect) to solve the following arguments
1. O ⊃ (Q • N)
2. (N Ú E) ⊃ S/ O ⊃ S

Found 3 solutions by RBryant, Edwin McCravy, math_tutor2020:
Answer by RBryant(14) About Me  (Show Source):
You can put this solution on YOUR website!
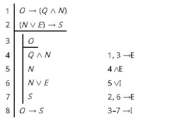
In this proof I use the Natural Deduction Rules. The kind that uses introduction rules and elimination rules. See illustration.



For those who may not be familiar what -->I means the I here stands for Introduction. The arrow is the symbol (called a connective) for a IF . . . THEN statement --also called a CONDITIONAL STATEMENT. So when you see the connective --> you expect to see something like If Al is a Man, then Al is a Human.
A Conditional Proof also goes by the name --> Introduction. Some sources will write --->I at the end of a proof. Others my show the same proof and write Conditional Proof as a justification instead of -->I. They are the same concept.
***Well the instruction clearly say do not use Conditional proof! Well then you may be not using Natural Deduction Rules. You are using what is called Copi rules with rules like disjunctive syllogism, modus tollens, material implication and so on.
Okay that can also be done.

1. O ⊃ (Q • N)
2. (N Ú E) ⊃ S     /   O ⊃ S
----------------------------------
3. ~O v (Q & N)               1    Implication
4. (~O v Q) & (~O v N)        3    Distribution
5. (~O v N) & (~O v Q)        4    Commutation
6. (~O v N)                   5    Simplification
7. ~O v (N v E)               6    Addition
8. ~O --> (N v E)             7    Implication
9.  O --> S                  2,8   Hypothetical Syllogism
                                                              QED.

Answer by Edwin McCravy(20086) About Me  (Show Source):
You can put this solution on YOUR website!

1. O ⊃ (Q • N)
2. (N v E) ⊃ S    / O ⊃ S

3. O ⊃ (N • Q)    1, commutation
4. O ⊃ N          3, simplification
5. O ⊃ (N v E)    4, addition
6. O ⊃ S          5,2, hypothetical syllogism

Edwin

Answer by math_tutor2020(3837) About Me  (Show Source):
You can put this solution on YOUR website!

Edit: RBryant you are clearly using a conditional proof. I would hope that a tutor such as yourself should know this basic logic concept.
If not then read this page
http://intrologic.stanford.edu/chapters/chapter_05.html
------------------

The proof by tutor RBryant is correct, but the instructions specifically state to NOT use a conditional proof.

The tutor Edwin has made an error.
The simplification and addition rules cannot apply to a piece of the expression, but rather must apply to the entire line.

Refer to these rules of inference and replacement
https://logiccurriculum.com/2019/02/09/rules-for-proofs/

This is how I would go about the derivation.
NumberStatementLine(s) UsedReason
1O -> (Q * N)
2(N v E) -> S
:.O -> S
3~O v (Q * N)1Material Implication
4(~O v Q) * (~O v N)3Distribution
5~O v N4Simplification
6(~O v N) v E5Addition
7~O v (N v E)6Association
8O -> (N v E)7Material Implication
9O -> S8,2Hypothetical Syllogism

I used an arrow symbol in place of a horseshoe.