SOLUTION: 1. Three times the lesser of two consecutive even integers is 6 less than six times the greater number. Find the integers.
2. Chris has saved twice the number of quarters that N
Algebra ->
Problems-with-consecutive-odd-even-integers
-> SOLUTION: 1. Three times the lesser of two consecutive even integers is 6 less than six times the greater number. Find the integers.
2. Chris has saved twice the number of quarters that N
Log On
Question 992989: 1. Three times the lesser of two consecutive even integers is 6 less than six times the greater number. Find the integers.
2. Chris has saved twice the number of quarters that Nora saved plus 6. The number of quarters Chris saved is also five times the difference of the number of quarters and 3 that Nora has saved. Write and solve an equation to find the number of quarters they each have saved.
3. Create an equation with at least two grouping symbols for which there is no solution.
4. Four times the lesser of two consecutive even integers is 12 less than twice the greater number. Find the integers.
5. Two times the least of two consecutive of three consecutive odd integers exceeds three times the greatest by 15. What are the integers?
6. 2/5h - 7 = 12/5h - 2h +3 Solve the equation.
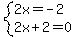
You can put this solution on YOUR website! #1
x is any integer.
2x and 2x+2 are two consecutive even integers.
-
The two integers are -2, and 0.
#2
k, how many quarters that Nora saved. (Think, "kuarters".)
Chris: 2k+6 and also 5(k-3)
and these are supposed to be the same: ------The amount of quarters Nora saved.
#5
This one is badly enough described that you need to rewrite it clearly.