A positive number is divided into two parts such that the sum of the squares of the two parts is 20. The square of the larger part is 8 times the smaller part. Taking x as the smaller part of the two parts, find the number.
Please help me to solve this problem which is based on the quadratic equation.
n = the number
x = smaller part
n-x = larger part
the sum of the squares of the two parts is 20
The square of the larger part is 8 times the smaller part
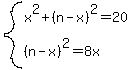
So we have this system of equations to solve:
Using the second, substitute 8x for (n-x)2 in the first
Get 0 on the right by subtracting 20 from both sides:
Factor:
Use the zero-factor property by setting each factor = 0
x-2 = 0; x+10 = 0
x = 2 x = -10
We ignore the negative answer.
x = smaller part = 2
find the number.
Substitute x = 2 in
Use the principle of square roots:
Add 2 to both sides
Using the +, we get 2+4 = 6
Using the -, we get 2-4 = -2
We ignore the negative answer.
Solution: 6
Checking:
The two parts of 6 are 2 and 4
the sum of the squares of the two parts is 20.
42+22 = 16 + 4 = 20
That checks.
The square of the larger part is 8 times the smaller part
42 = 16 and 16 = (8)(2)
So that checks.
Edwin