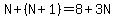
SOLUTION: The sum of 2 consecutive even integers equals 8 more than 3 times the smaller. Find the integers.
Algebra
->
Problems-with-consecutive-odd-even-integers
-> SOLUTION: The sum of 2 consecutive even integers equals 8 more than 3 times the smaller. Find the integers.
Log On
Word Problems: Problems with consecutive odd even integers
Word
Solvers
Solvers
Lessons
Lessons
Answers archive
Answers
Click here to see ALL problems on Problems-with-consecutive-odd-even-integers
Question 840605
:
The sum of 2 consecutive even integers equals 8 more than 3 times the smaller. Find the integers.
Answer by
Fombitz(32388)
(
Show Source
):
You can
put this solution on YOUR website!
-7 and -6 are the integers