SOLUTION: If one-half of one integer is subtracted from three-fifths of the next consecutive integer, the difference is 3. What are the two integers?

Algebra ->  Problems-with-consecutive-odd-even-integers -> SOLUTION: If one-half of one integer is subtracted from three-fifths of the next consecutive integer, the difference is 3. What are the two integers?      Log On


   



Question 71445: If one-half of one integer is subtracted from three-fifths of the next consecutive integer, the difference is 3. What are the two integers?
Answer by Earlsdon(6294) About Me  (Show Source):
You can put this solution on YOUR website!
Let the first integer be x. The next consecutive integer is (x+1). From the problem description you can write:
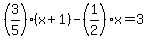
%283%2F5%29%28x%2B1%29+-+%281%2F2%29x+=+3 Simplify and solve for x.
%28%283x%2B3%29%2F5%29-x%2F2+=+3 Subtract the fractions on the left side. The LCD is 10.
%28%286x%2B6%29-5x%29%2F10+=+3 Multiply both sides by 10 and simplify.
x%2B6+=+30 Subtract 6 from both sides.
x+=+24 and x%2B1+=+25
The two consecutive integers are: 24 and 25