SOLUTION: Combine into a single fraction in lowest terms: Reduce to a single fraction in lowest terms: 2y/y^2-4+1/2-y

Algebra ->  Problems-with-consecutive-odd-even-integers -> SOLUTION: Combine into a single fraction in lowest terms: Reduce to a single fraction in lowest terms: 2y/y^2-4+1/2-y      Log On


   



Question 592166: Combine into a single fraction in lowest terms:
Reduce to a single fraction in lowest terms:
2y/y^2-4+1/2-y

Answer by ankor@dixie-net.com(22740) About Me  (Show Source):
You can put this solution on YOUR website!
Reduce to a single fraction in lowest terms:
%282y%29%2F%28%28y%5E2-4%29%29 + 1%2F%28%282-y%29%29
:
Note that the 1st denominator is the "difference of squares" can be factored to
%282y%29%2F%28%28y-2%29%28y%2B2%29%29 + 1%2F%28%282-y%29%29
:
We can make the 2nd denominator like the 1st by factoring out -1, so we have
%282y%29%2F%28%28y-2%29%28y%2B2%29%29 + 1%2F%28-1%28y-2%29%29
:
Change the sign and we are rid of the -1
%282y%29%2F%28%28y-2%29%28y%2B2%29%29 - 1%2F%28%28y-2%29%29
:
we can see the common denominator will be (y-2)(y+2)
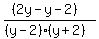
%282y-%28y%2B2%29%29%2F%28%28y-2%29%28y%2B2%29%29 = %28%282y-y-2%29%29%2F%28%28y-2%29%28y%2B2%29%29 = %28%28y-2%29%29%2F%28%28y-2%29%28y%2B2%29%29
:
Cancel (y-2), resulting in
1%2F%28%28y%2B2%29%29