SOLUTION: The product of two consecutive negative odd integers is 899. What is the value of the two integers?

Algebra ->  Problems-with-consecutive-odd-even-integers -> SOLUTION: The product of two consecutive negative odd integers is 899. What is the value of the two integers?      Log On


   



Question 587366: The product of two consecutive negative odd integers is 899. What is the value of the two integers?
Found 2 solutions by dfrazzetto, Alan3354:
Answer by dfrazzetto(283) About Me  (Show Source):
You can put this solution on YOUR website!
odd integers:
2n+1, 2n+3
(2n+1)(2n+3) = 899
4n^2 + 8n + 3 = 899
4n^2 + 8n + 3 - 899 = 0
4n^2 + 8n - 896 = 0
n^2 + 2n - 224 = 0
Solved by pluggable solver: SOLVE quadratic equation with variable
Quadratic equation ax%5E2%2Bbx%2Bc=0 (in our case 1x%5E2%2B2x%2B-224+=+0) has the following solutons:

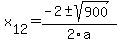
x%5B12%5D+=+%28b%2B-sqrt%28+b%5E2-4ac+%29%29%2F2%5Ca

For these solutions to exist, the discriminant b%5E2-4ac should not be a negative number.

First, we need to compute the discriminant b%5E2-4ac: b%5E2-4ac=%282%29%5E2-4%2A1%2A-224=900.

Discriminant d=900 is greater than zero. That means that there are two solutions: +x%5B12%5D+=+%28-2%2B-sqrt%28+900+%29%29%2F2%5Ca.

x%5B1%5D+=+%28-%282%29%2Bsqrt%28+900+%29%29%2F2%5C1+=+14
x%5B2%5D+=+%28-%282%29-sqrt%28+900+%29%29%2F2%5C1+=+-16

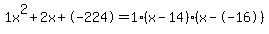
Quadratic expression 1x%5E2%2B2x%2B-224 can be factored:
1x%5E2%2B2x%2B-224+=+1%28x-14%29%2A%28x--16%29
Again, the answer is: 14, -16. Here's your graph:
graph%28+500%2C+500%2C+-10%2C+10%2C+-20%2C+20%2C+1%2Ax%5E2%2B2%2Ax%2B-224+%29


plugging either of the roots in for n gives
29 and 31
29 x 31 = 899

Answer by Alan3354(69443) About Me  (Show Source):
You can put this solution on YOUR website!
The product of two consecutive negative odd integers is 899. What is the value of the two integers?
------------
sqrt%28899%29 = almost 30, the center
--> 29 & 31