SOLUTION: the product of two consecutive integers is 16 less than the square of the next larger integer. what are the three integers? PLEASE SHOW ME HOW DID YOU GET THAT ANSWER STEP BY STEP
Algebra ->
Problems-with-consecutive-odd-even-integers
-> SOLUTION: the product of two consecutive integers is 16 less than the square of the next larger integer. what are the three integers? PLEASE SHOW ME HOW DID YOU GET THAT ANSWER STEP BY STEP
Log On
Question 565387: the product of two consecutive integers is 16 less than the square of the next larger integer. what are the three integers? PLEASE SHOW ME HOW DID YOU GET THAT ANSWER STEP BY STEP THANKS Answer by josmiceli(19441) (Show Source):
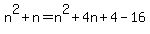
You can put this solution on YOUR website! Call the 3 integers , , and
given:
Subtract from both sides
Subtract from both sides
Divide both sides by
The numbers are 4, 5, and 6
check:
OK