SOLUTION: Convert to scientific notation: 0.1514 i need help
Algebra
->
Problems-with-consecutive-odd-even-integers
-> SOLUTION: Convert to scientific notation: 0.1514 i need help
Log On
Word Problems: Problems with consecutive odd even integers
Word
Solvers
Solvers
Lessons
Lessons
Answers archive
Answers
Click here to see ALL problems on Problems-with-consecutive-odd-even-integers
Question 501717
:
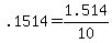
Convert to scientific notation: 0.1514
i need help
Answer by
josmiceli(19441)
(
Show Source
):
You can
put this solution on YOUR website!
Scientific notation should end up
looking like this:
a.aaa x
Do this conversion:
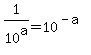
Now use the rule that says:
In this case,