SOLUTION: "The square of the sum of two consecutive positive even integers is greater than the sum of their squares by 160. Find the larger even integer."
Question 1043101: "The square of the sum of two consecutive positive even integers is greater than the sum of their squares by 160. Find the larger even integer." Found 2 solutions by josgarithmetic, MathTherapy:Answer by josgarithmetic(39631) (Show Source):
You can put this solution on YOUR website!
"The square of the sum of two consecutive positive even integers is greater than the sum of their squares by 160. Find the larger even integer."
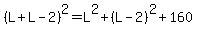
Let the larger integer be L
Then smaller is: L - 2
We then get:
Factor this trinomial, set each factor equal to 0, and then obtain the value(s) for L, the larger integer.
Ignore the negative value, as L, or larger integer should be positive (> 0).