SOLUTION: If I roll five fair dices numbered from 1 to 6, I know that the different combinations for them (from 1,1,1,1,1 , 1,1,1,1,2 , 1,1,1,1,3 .... upto 6,6,6,6,6) is 7776 (6^5). However,

Algebra ->  Probability-and-statistics -> SOLUTION: If I roll five fair dices numbered from 1 to 6, I know that the different combinations for them (from 1,1,1,1,1 , 1,1,1,1,2 , 1,1,1,1,3 .... upto 6,6,6,6,6) is 7776 (6^5). However,      Log On


   



Question 973158: If I roll five fair dices numbered from 1 to 6, I know that the different combinations for them (from 1,1,1,1,1 , 1,1,1,1,2 , 1,1,1,1,3 .... upto 6,6,6,6,6) is 7776 (6^5). However, in the game Yahtzee, it is said that you only consider distinct results (which means that 1,3,1,4,5 is the same as 5,1,4,3,1). The number of distinct combinations for rolling 5 dices is 252. So, there's the answer! My question is, how do you mathematically solve this? What are the steps involved?
Answer by jim_thompson5910(35256) About Me  (Show Source):
You can put this solution on YOUR website!
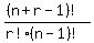
You will use the formula

%28%28n%2Br-1%29%21%29%2F%28r%21%28n-1%29%21%29

as explained here (scroll to the bottom. It's the section right above where it says "In Conclusion")

In this case, n = 6, r = 5, so...

%28%28n%2Br-1%29%21%29%2F%28r%21%28n-1%29%21%29

%28%286%2B5-1%29%21%29%2F%285%21%286-1%29%21%29

%2810%21%29%2F%285%215%21%29

%283628800%29%2F%28120%2A120%29

%283628800%29%2F%2814400%29

252

-------------------------------------------------------

So, %28%28n%2Br-1%29%21%29%2F%28r%21%28n-1%29%21%29=252 when n = 6, r = 5