SOLUTION: The mean grade on an examination was 72. and the standard deviation was 9. The top 10% of students are to receive A's. What is the minimum grade a student must get in order to re

Algebra ->  Probability-and-statistics -> SOLUTION: The mean grade on an examination was 72. and the standard deviation was 9. The top 10% of students are to receive A's. What is the minimum grade a student must get in order to re      Log On


   



Question 956902: The mean grade on an examination was 72. and the standard deviation was 9.
The top 10% of students are to receive A's.
What is the minimum grade a student must get in order to receive an A?

Answer by Fombitz(32388) About Me  (Show Source):
You can put this solution on YOUR website!
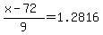
Find the z score that corresponds to a probability of 0.9.
That will be the min score to receive an A.
p=0.9
z=1.2816
%28x-72%29%2F9=1.2816
x=83.5