SOLUTION: An object projected from height of 48 ft. with an initial velocity of 32 ft./sec after t seconds has a height = -16t^2 + 32t +48. A) After how many seconds is the height 64 ft? B

Algebra ->  Probability-and-statistics -> SOLUTION: An object projected from height of 48 ft. with an initial velocity of 32 ft./sec after t seconds has a height = -16t^2 + 32t +48. A) After how many seconds is the height 64 ft? B      Log On


   



Question 907730: An object projected from height of 48 ft. with an initial velocity of 32 ft./sec after t seconds has a height = -16t^2 + 32t +48.
A) After how many seconds is the height 64 ft?
B) After how many seconds does the object hit the ground?
C) How high is the object after 1/2 second?

I'm not entirely confident with my answers but here is what I got:
A) 1 second
B) 3 seconds
C) 60 feet
I just need help to see if I understood this correctly. I was having a very difficult time with this problem.

Answer by KMST(5328) About Me  (Show Source):
You can put this solution on YOUR website!
THE REASONING:
A) system%28height+=+-16t%5E2+%2B+32t+%2B48%2C+height=64%29--->64=+-16t%5E2+%2B+32t+%2B48
You solved that equation correctly and found t=1 .
B) system%28height+=+-16t%5E2+%2B+32t+%2B48%2C+height=0%29--->0=+-16t%5E2+%2B+32t+%2B48
You solved that equation correctly and found t=3 .
C) system%28height+=+-16t%5E2+%2B+32t+%2B48%2C+t=1%2F2%29--->height+=+-16%281%2F2%29%5E2+%2B+32%281%2F2%29+%2B48=-16%281%2F4%29%2B16%2B48=-4%2B16-48=60 ,
and you did the calculation correctly.

THE QUADRATIC EQUATIONS:
There are many ways to solve. This is my way.
64=+-16t%5E2+%2B+32t+%2B48
64-48=+-16t%5E2+%2B+32t
16=+-16t%5E2+%2B+32t
(Here I would say that I am dividing both sides of the equal sign by -16,
but I think of it as two steps)
Dividing both sides of the equation by 16, we get
1=-t%5E2%2B2 , and changing the signs (multiplying both sides times -1), we get
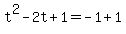
t%5E2-2t=-1
Adding 1 to both sides, I complete the square:
t%5E2-2t%2B1=-1%2B1
%28t-1%29%5E2=0--->t-1=0--->t=1

0=+-16t%5E2+%2B+32t+%2B48
Dividing both sides by -16, I would get
t%5E2-2t-3=0
t%5E2-2t=3
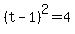
t%5E2-2t%2B1=3%2B1
%28t-1%29%5E2=4--->t-1=2--->t=3