SOLUTION: (There is 3 Blue, 8 Red, 12 Green, 12 Yellow, 4 Brown, and 2 Orange.) When you open a bag of M&Ms what is the probability of getting a yellow or a green M&M?

Algebra ->  Probability-and-statistics -> SOLUTION: (There is 3 Blue, 8 Red, 12 Green, 12 Yellow, 4 Brown, and 2 Orange.) When you open a bag of M&Ms what is the probability of getting a yellow or a green M&M?      Log On


   



Question 851219: (There is 3 Blue, 8 Red, 12 Green, 12 Yellow, 4 Brown, and 2 Orange.)
When you open a bag of M&Ms what is the probability of getting a yellow or a green M&M?

Answer by ewatrrr(24785) About Me  (Show Source):
You can put this solution on YOUR website!
 
Hi,
41 m&ms: 3 Blue, 8 Red, 12 Green, 12 Yellow, 4 Brown, and 2 Orange
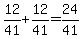
P(yellow 0r green) = 12%2F41+%2B+12%2F41+=+24%2F41