SOLUTION: Help PLEASE! what is 11 P 11 thats how it shows up on my assignment .. i dont know what its wanting.

Algebra ->  Probability-and-statistics -> SOLUTION: Help PLEASE! what is 11 P 11 thats how it shows up on my assignment .. i dont know what its wanting.       Log On


   



Question 850402: Help PLEASE! what is 11 P 11 thats how it shows up on my assignment .. i dont know what its wanting.
Answer by Seutip(231) About Me  (Show Source):
You can put this solution on YOUR website!
Here let me help you,
11P11 means nPr, where in n=r or 11=11 got it?
11P11 means Permutation of 11 taken 11 at a time,
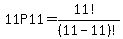
11P11+=+%28%28n%21%29%2F%28n-r%29%21%29
11P11+=+%2811%21%29%2F%2811-11%29%21
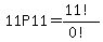
11P11+=+%2811%21%29%2F%280%21%29
11P11+=+39916800
Hope that helps!
<3rda33