SOLUTION: A box of defective video games were accidentally mixed with a box of good video games. There are now 15 video games, 5 of which are defective sitting in a large box. If three games
Algebra ->
Probability-and-statistics
-> SOLUTION: A box of defective video games were accidentally mixed with a box of good video games. There are now 15 video games, 5 of which are defective sitting in a large box. If three games
Log On
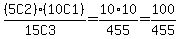
Question 849952: A box of defective video games were accidentally mixed with a box of good video games. There are now 15 video games, 5 of which are defective sitting in a large box. If three games are selected at random, what is the probability that exactly 2 of them will be defective? Give your answer in decimal form, rounded to the hundredths place. Answer by ewatrrr(24785) (Show Source):