SOLUTION: Use the characteristics of a binomial experiment. Seventeen percent of married couples say they are planning a trip to Europe. You randomly select 15 married couples and ask eac

Algebra ->  Probability-and-statistics -> SOLUTION: Use the characteristics of a binomial experiment. Seventeen percent of married couples say they are planning a trip to Europe. You randomly select 15 married couples and ask eac      Log On


   



Question 847145: Use the characteristics of a binomial experiment.
Seventeen percent of married couples say they are planning a trip to Europe. You randomly select 15 married couples and ask each if they are planning to travel to Europe.
1. What is the probability that exactly 1 couple says they plan to travel to Europe?
2. What is the probability that more than 1 couple say they plan to travel to Europe?
3. What is the probability that at most 2 couples say they plan to travel to Europe?
4. What is the probability that less than 5 couples say they plan to travel to Europe?
Thanks, hope you can help!

Answer by reviewermath(1029) About Me  (Show Source):
You can put this solution on YOUR website!
Use the characteristics of a binomial experiment.
Seventeen percent of married couples say they are planning a trip to Europe. You randomly select 15 married couples and ask each if they are planning to travel to Europe.
X~Binomial(15, 0.17)
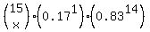
1. What is the probability that exactly 1 couple says they plan to travel to Europe?
P(X = 1) = %28matrix%282%2C1%2C15%2Cx%29%29%280.17%5E1%29%280.83%5E14%29 = highlight%280.1878%29

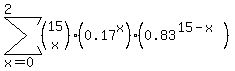
2. What is the probability that more than 1 couple say they plan to travel to Europe?
P(X > 1) = 1 - P(X ≤ 1)
=
= highlight%280.7511%29
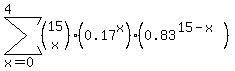
3. What is the probability that at most 2 couples say they plan to travel to Europe?
P(X ≤ 2) =
= highlight%280.5181%29
4. What is the probability that less than 5 couples say they plan to travel to Europe?
P(X < 5) =
= highlight%280.9039%29