SOLUTION: A bag has ten marbles in it. Three of them are green, one of them is red, four of them are yellow, and two of them are blue. If one marble is taken out of the bag randomly, what is
Algebra ->
Probability-and-statistics
-> SOLUTION: A bag has ten marbles in it. Three of them are green, one of them is red, four of them are yellow, and two of them are blue. If one marble is taken out of the bag randomly, what is
Log On
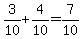
Question 838003: A bag has ten marbles in it. Three of them are green, one of them is red, four of them are yellow, and two of them are blue. If one marble is taken out of the bag randomly, what is the probability that it will either be green or yellow? Answer by Fombitz(32388) (Show Source):