Question 765567: Please help me solve this probablity question: Suppose the # of buses arriving at a campus has a Poisson probability distribution. Also,assume that the average # of arrivals per hr is 7.
A.) find the probablity of 5 arrivals in 1 hour?
B.)find the probablity of 12 or more arrivals in an hour?
C.)find the probablity of more than 3 arrivals in 30minutes? Answer by reviewermath(1029) (Show Source):
You can put this solution on YOUR website! Suppose the # of buses arriving at a campus has a Poisson probability distribution. Also,assume that the average # of arrivals per hr is 7.
A.) find the probablity of 5 arrivals in 1 hour?
P(X=5) = =
B.)find the probablity of 12 or more arrivals in an hour?
P(X≥12) = =
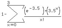
C.)find the probablity of more than 3 arrivals in 30minutes?
The average # of arrivals per 30 minutes is 3.5.
P(X > 3) = =