SOLUTION: Please help me find the fifth term in this expression (x+3y)^8. I tired to solve it using the nCr on the calculator, but it didn't make any sense, so now I don't know what to do.

Algebra ->  Probability-and-statistics -> SOLUTION: Please help me find the fifth term in this expression (x+3y)^8. I tired to solve it using the nCr on the calculator, but it didn't make any sense, so now I don't know what to do.      Log On


   



Question 737282: Please help me find the fifth term in this expression (x+3y)^8. I tired to solve it using the nCr on the calculator, but it didn't make any sense, so now I don't know what to do.
Answer by Ed Parker(21) About Me  (Show Source):
You can put this solution on YOUR website!
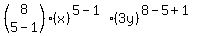
The rth term of (A + B)N is  %28matrix%282%2C1%2CN%2Cr-1%29%29A%5E%28r-1%29%2AB%5E%28N-r%2B1%29

For (x + 3y)5        

Substitute x for A, 3y for B, 8 for N, and 5 for r

    %28matrix%282%2C1%2C8%2C5-1%29%29%28x%29%5E%285-1%29%2A%283y%29%5E%288-5%2B1%29

    %28matrix%282%2C1%2C8%2C4%29%29x%5E4%2A%283y%29%5E4

    %28matrix%282%2C1%2C8%2C4%29%29x%5E4%2A3%5E4y%5E4

    %28matrix%282%2C1%2C8%2C4%29%29x%5E4%2A81y%5E4

Now we use  nCr to find %28matrix%282%2C1%2C8%2C4%29%29 

Press ON
Press CLEAR
Press 8
Press MATH
Press left arrow once to highlight PRB
Press 3
          Read 8 nCr
Press 4   Read 8 nCr 4
Press ENTER
          Read 70

Substitute 70 for %28matrix%282%2C1%2C8%2C4%29%29

    70x%5E4%2A81y%5E4 
  
    5670x%5E4%2Ay%5E4

Edwin