SOLUTION: 90% of the people surveyed believe that the speed limilt on the turnpike should increase. A random sample of 15 people were asked if they believe that the speed limit should be inc

Algebra ->  Probability-and-statistics -> SOLUTION: 90% of the people surveyed believe that the speed limilt on the turnpike should increase. A random sample of 15 people were asked if they believe that the speed limit should be inc      Log On


   



Question 729623: 90% of the people surveyed believe that the speed limilt on the turnpike should increase. A random sample of 15 people were asked if they believe that the speed limit should be increased and the number who agree were recorded
1. find the probability that exactly 7 believe that the speed limit should be increased

Found 2 solutions by lynnlo, ikleyn:
Answer by lynnlo(4176) About Me  (Show Source):
Answer by ikleyn(53742) About Me  (Show Source):
You can put this solution on YOUR website!
.
90% of the people surveyed believe that the speed limilt on the turnpike should increase.
A random sample of 15 people were asked if they believe that the speed limit should be increased
and the number who agree were recorded
1. find the probability that exactly 7 believe that the speed limit should be increased
~~~~~~~~~~~~~~~~~~~~~~~~~~~~~~


It is a typical question/problem on binomial distribution probability.


The number of trials is 15, the number of successful trials is 7 
and the probability of the individual success is 0.9.


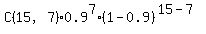
For the solution, use a standard formula


    P = C%2815%2C7%29%2A0.9%5E7%2A%281-0.9%29%5E%2815-7%29 = 6435%2A0.9%5E7%2A0.1%5E8 = 3.07784E-05.    ANSWER

Solved.