SOLUTION: a. Solve for x b. solve for y c. Solve for z 3x+7=(4y/z)^2 i really need the work shown also because i have no idea what order of operations is on these. thank you so much

Algebra ->  Probability-and-statistics -> SOLUTION: a. Solve for x b. solve for y c. Solve for z 3x+7=(4y/z)^2 i really need the work shown also because i have no idea what order of operations is on these. thank you so much       Log On


   



Question 574671: a. Solve for x
b. solve for y
c. Solve for z
3x+7=(4y/z)^2
i really need the work shown also because i have no idea what order of operations is on these. thank you so much

Answer by ankor@dixie-net.com(22740) About Me  (Show Source):
You can put this solution on YOUR website!
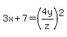
3x%2B7=%284y%2Fz%29%5E2
:
a. Solve for x
Get rid of the brackets, square everything inside the brackets
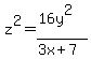
3x%2B7=%2816y%5E2%29%2Fz%5E2%29
Subtract 7 from both sides
3x = %2816y%5E2%29%2Fz%5E2-7
divide both sides by 3
x = %2816y%5E2%29%2F%283z%5E2%29-7%2F3
:
;
b. solve for y
Get rid of the brackets, square everything inside the brackets
3x%2B7=%2816y%5E2%29%2Fz%5E2%29
multiply both sides by z^2
3xz%5E2+%2B+7z%5E2+=+16y%5E2
divide both sides by 16
%28%283xz%5E2%2B7z%5E2%29%29%2F16 = y%5E2
Find the square root of both sides
sqrt%28%28%283xz%5E2%2B7z%5E2%29%29%2F16%29 = y
:
:
c. Solve for z
3x%2B7=%2816y%5E2%29%2Fz%5E2%29
multiply both sides by z^2
z%5E2%283x+%2B+7%29+=+16y%5E2
divide both sides by (3x+7)
z%5E2+=+%2816y%5E2%29%2F%283x%2B7%29
Find the square root of both sides
z = sqrt%28%2816y%5E2%29%2F%283x%2B7%29%29
:
:
I know this seems like a lot to absorb, but take it one step at a time and understand what happened. Take your time to do this. C