SOLUTION: In a group of 20 person, 5 are females. If 3 persons are picked out of 20 at random, what is the probability that they all are females? What is the probability of atleast one being

Algebra ->  Probability-and-statistics -> SOLUTION: In a group of 20 person, 5 are females. If 3 persons are picked out of 20 at random, what is the probability that they all are females? What is the probability of atleast one being      Log On


   



Question 467339: In a group of 20 person, 5 are females. If 3 persons are picked out of 20 at random, what is the probability that they all are females? What is the probability of atleast one being female?
Found 2 solutions by jorel1380, Edwin McCravy:
Answer by jorel1380(3719) About Me  (Show Source):
You can put this solution on YOUR website!
5/20x4/19x3/18=1/4x1/6x4/19=4/456=1/114
-------------------------------
That all picks are men:3/4x3/4x3/4=27/64
At least one is a woman:1-27/64=37/64..

Answer by Edwin McCravy(20060) About Me  (Show Source):
You can put this solution on YOUR website!
The other tutor's solution is incorrect.

------------------------------------------

In a group of 20 person, 5 are females. If 3 persons are picked out of 20 at random, what is the probability that they all are females?
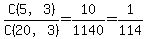
 There are C(5,3) ways to pick a group of 3 females out of the 5.

There are C(20,3) ways to pick any group of 3 persons

So the probability is C%285%2C3%29%2FC%2820%2C3%29=+10%2F1140+=+1%2F114

--------------------------------------------------

What is the probability of atleast one being female?
---------------------------------------------------

We find the probability of the complement event and subtract
from 1.

The complement event of at least one female is having no females
which means all males.

Since there are 5 females, there are 15 males.

So there are C(15,3) ways to pick a group of 3 males out of the 15.

There are C(20,3) ways to pick any group of 3 persons

So the probability is C%2815%2C3%29%2FC%2820%2C3%29=+455%2F1140+=+91%2F228

Edwin