SOLUTION: A set of 50 data values has a mean of 16 and a variance of 4. I. Find the standard score (z) for a data value = 12. II. Find the probability of a data value > 12.

Algebra ->  Probability-and-statistics -> SOLUTION: A set of 50 data values has a mean of 16 and a variance of 4. I. Find the standard score (z) for a data value = 12. II. Find the probability of a data value > 12.       Log On


   



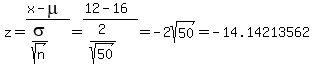
Question 456951: A set of 50 data values has a mean of 16 and a variance of 4.
I. Find the standard score (z) for a data value = 12.
II. Find the probability of a data value > 12.

Answer by robertb(5830) About Me  (Show Source):
You can put this solution on YOUR website!
I will assume that you're looking at the distribution of the sample means (which follows a normal distribution) of size 50.
In this case, is the standard score for a sample mean of 12.
Looking at the empirical rule for normal distributions, the probability is virtually 1 that a sample mean is greater than 12.