SOLUTION: Connor and Matt walk a 12 mile couse as part of a fitness program. Matt walks 1 mi/hr faster than Connor, and it takes him 1 hour less than Connor to complete the course. How long

Algebra ->  Probability-and-statistics -> SOLUTION: Connor and Matt walk a 12 mile couse as part of a fitness program. Matt walks 1 mi/hr faster than Connor, and it takes him 1 hour less than Connor to complete the course. How long       Log On


   



Question 452270: Connor and Matt walk a 12 mile couse as part of a fitness program. Matt walks 1 mi/hr faster than Connor, and it takes him 1 hour less than Connor to complete the course. How long does it take Connor to complete the course?
Answer by pedjajov(51) About Me  (Show Source):
You can put this solution on YOUR website!
m - rate of Matt
c - rate of Connor
:
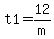
t1- time for Matt to walk the course
t2- time for Connor to walk the course
:
Distance passed by Matt is 12 mi -> m%2At1=12 -> t1=12%2Fm
Distance passed by Connor is 12 mi -> c%2At2=12 -> t2=12%2Fc
:
Matt walks 1mi/h faster than Connor -> m=c%2B1
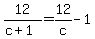
Matt finishes 1 hour before Connor -> t1=t2-1 -> 12%2Fm=12%2Fc+-+1
:
Substitute m from the first equation into the second
:
12%2F%28c%2B1%29=12%2Fc+-+1, multiply whole equation by c(c+1)
12c=12%28c%2B1%29-c%28c%2B1%29, distribute multiplication
12c=12c%2B12-c%5E2-c, move everything to the left side
12c-12c-12%2Bc%5E2%2Bc=0, combine
c%5E2%2Bc-12=0, this is quadratic equation that can be factorized
%28c-3%29%28c%2B4%29=0, solutions are c=3 and c=-4
:
Only acceptable solution is positive number so rate for Connor is 3mi/h
:
Time he needs to finish the course is t2=12%2Fc = 12%2F3 = 4 hours