SOLUTION: A set of data has mean 66 and standard deviation 7. Find the z-score of the value 32

Algebra ->  Probability-and-statistics -> SOLUTION: A set of data has mean 66 and standard deviation 7. Find the z-score of the value 32      Log On


   



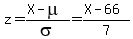
Question 447873: A set of data has mean 66 and standard deviation 7. Find the z-score of the value 32
Answer by robertb(5830) About Me  (Show Source):
You can put this solution on YOUR website!
Use the formula z+=+%28X++-mu%29%2Fsigma+=+%28X+-+66%29%2F7.