SOLUTION: In a study of the time college freshmen use to study each week, it is found that the
mean is 6.8 hours with a standard deviation of 2.5 hours. If 100 freshmen are
randomly select
Algebra ->
Probability-and-statistics
-> SOLUTION: In a study of the time college freshmen use to study each week, it is found that the
mean is 6.8 hours with a standard deviation of 2.5 hours. If 100 freshmen are
randomly select
Log On
Question 437771: In a study of the time college freshmen use to study each week, it is found that the
mean is 6.8 hours with a standard deviation of 2.5 hours. If 100 freshmen are
randomly selected, what is the probability that their mean weekly study time
exceeds seven hours? Answer by ewatrrr(24785) (Show Source):
Hi
*Note:
In a study of the time college freshmen use to study each week,
mean is 6.8 hours with a standard deviation of 2.5 hours
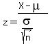
Sample size n = 100 Find: P(X > 7hr)
z = (7-6.8)/(2.5/10) = .2/.25 = .8
P(z >.8) = 1 - .7881 = .2119