SOLUTION: Angela usually rushes to make it to the bus stop to catch the school bus, and will often miss the bus if it is early. The bus comes early to Angela's top 28% of the time. what is t

Algebra ->  Probability-and-statistics -> SOLUTION: Angela usually rushes to make it to the bus stop to catch the school bus, and will often miss the bus if it is early. The bus comes early to Angela's top 28% of the time. what is t      Log On


   



Question 435657: Angela usually rushes to make it to the bus stop to catch the school bus, and will often miss the bus if it is early. The bus comes early to Angela's top 28% of the time. what is the probability that the bus will come early to at least once during a 5 day school week?
Answer by robertb(5830) About Me  (Show Source):
You can put this solution on YOUR website!
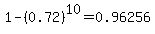
I will assume that Angela rides the buys in going to school AND coming home from school. The probability the bus comes early is 0.28, and the probability that the bus comes on time or later is 0.72.
Then the probability that she misses the bus (i.e., the bus is early) at least once in a 5 day school week is 1-+%280.72%29%5E10+=+0.96256, to 5 decimal places.